MATHX gửi đến quý phụ huynh và các em học sinh đề thi chọn học sinh giỏi thành phố Từ Sơn năm 2024 - 2025 kèm đáp án tham khảo.

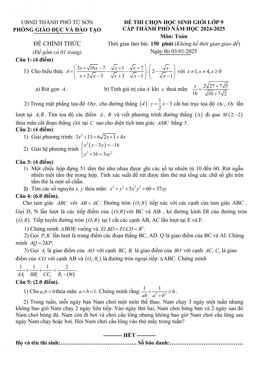
Lời giải đề thi chọn học sinh giỏi thành phố Từ Sơn năm 2024 - 2025:







.jpg)


Phụ huynh và học sinh có thể xem file lời giải tại đây:
GIỚI THIỆU LỚP HỌC ONLINE CÙNG GIÁO VIÊN GIỎI
Trường Toán Online MATHX với các lớp Toán online trực tiếp với giáo viên giỏi.
Lớp học dành cho học sinh từ CƠ BẢN đến NÂNG CAO phù hợp với trình độ của từng bạn (có kiểm tra xếp lớp).
Sĩ số 8 - 12 học sinh/lớp giúp giáo viên và học sinh dễ dàng tương tác, giáo viên dễ dàng sát sao tình hình học tập của học sinh.
Phụ huynh học sinh đăng ký LÀM BÀI KIỂM TRA XẾP LỚP MIỄN PHÍ tại form:
truongtoanmathx.vn/dangkykiemtra
Xem thông tin chi tiết: truongtoanmathx.vn
HOTLINE: 0867.162.019